Skip to main content

NOTICE: Due to a lapse in annual appropriations, most of this website is not being updated. Learn more.

Form submissions will still be accepted but will not receive responses at this time. Sections of this site for programs using non-appropriated funds (such as NVLAP) or those that are excepted from the shutdown (such as CHIPS and NVD) will continue to be updated.

U.S. flag

An official website of the United States government

Official websites use .gov
A .gov website belongs to an official government organization in the United States.

Secure .gov websites use HTTPS
A lock ( ) or https:// means you’ve safely connected to the .gov website. Share sensitive information only on official, secure websites.

Multiferroics

Materials that are both ferroelectric and magnetic–multiferroics–are rare.  This is because in most ferroelectrics, such as BaTiO3, the ferroelectricity is driven by a hybridization of empty d orbitals with occupied p orbitals of the octahedrally coordinated oxygen ions.  The empty d orbitals means no magnetic moment and thus this cannot lead to multiferroic behavior.  There are consequently very few ferroelectrics that exhibit long range magnetic order, and rarer still are materials where these two disparate order parameters exist and exhibit significant coupling.  Multiferroics have been of particular interest recently both to understand the fundamental aspects of the novel mechanism that gives rise to this magnetic-ferroelectric coupling, as well as because of the intriguing possibility of using these coupled order parameters in novel device applications.  In particular, recent "proof of principle" work has shown that it is possible to control the magnetic phase with an applied electric field, and control the electric polarization with an applied magnetic field.

The hexagonal HoMnO3 system is of particular interest here is a prototype multiferroic.  The holmium-oxygen displacements give rise to a ferroelectric moment along the crystallographic c axis at very high temperatures (TC = 875 K), while the Mn moments order at 72 K.  The order parameters are naturally coupled through the Ho-Mn exchange and anisotropy interactions.  The crystal structure is shown in the figure, where we see that the Mn spin system has the added interest that the moments occupy a fully frustrated triangular lattice. 

         

HoMnO3 Crystal Structure
Credit: JWLynn

     

 

Side view of crystal structure                                                                        

HoMnO3 Unit Cell
Credit: JWLynn

Top View

Purple spheres represent holmium ions, blue spheres oxygen ions arranged octahedrally with the Mn ions in the middle.

 

The Mn spins order at 72 K, and then the magnetic structure undergoes a spin reorientation transition at 40 K (in zero applied field).  At both of these transitions there are anomalies in the dielectric constant, demonstrating that there is strong coupling between the magnetic and ferroelectric order parameters. 

HoMnO3 Magnetic Transitions 3D
Credit: JWLynn

      

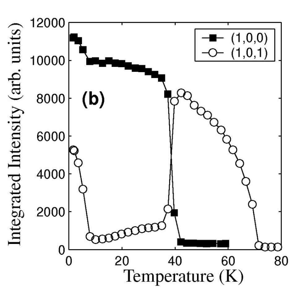
HoMnO3 Intensity vs. Temperature
Credit: JWLynn

Magnetic order parameters for HoMnO3;  (top) isometric plot of the [1,0,1] magnetic Bragg peak and (bottom) integrated intensities vs. T for two different magnetic peaks.  The magnetic structure changes three times in evolving to the ground state.  All three magnetic structures are non-collinear, and possess different chiral symmetries as shown below.  The transition at ~8K includes the development of magnetic order for the holmium moments as well as a change in the magnetic structure of the Mn spins.

HoMnO3 Magnetic Structures
Credit: JWLynn

Three magnetic structures for the Mn spins.

 

The application of a magnetic field (along the c-axis) broadens and moves the spin-reorientation transition in temperature, as shown by the data below.  The data allow the phase boundary to be mapped in the (H,T) plane.  At low T additional transitions are observed, which are also hysteretic.

 

HoMnO3 Field Dependence
Credit: JWLynn

     

HoMnO3 Field Dependence at Low Temperature
Credit: JWLynn

Field dependence of the magnetic intensities at intermediate T (top) and low T (bottom)

HoMnO3 B, T phase diagram
Credit: JWLynn

Phase diagram as a function of (H,T) determined from neutron diffraction measurements.

 

The spin dynamics of this system turns out to be particularly interesting.  Inelastic neutron scattering measurements reveal the planar nature of the spin system, and have established the basic model for the magnetic interactions in the system. The non-collinear spin structure gives rise to three different "flavors" of bosons.  The single-ion anisotropy of the (ferroelectric) holmium rare earth ions couples to the Mn spins, and in our view plays a critical role in both the spin reorientation transitions (much like that found in Nd2CuO4) and in the multiferroic behavior.

HoMnO3 Magnon Dispersion Relations
Credit: JWLynn

Spin-wave dispersion relations at 20 K for two in-plane directions in reciprocal space, and along the c-axis (inset) where no significant dispersion is observed, indicating that the system is 2d in nature.  The solid curves are fits to a 2d Heisenberg model.  Dashed lines indicate two (dispersionless) crystal field levels of Ho at 1.5 and 3.1 meV. The scan shown is for Q=1.3,0,0, where the apparent sloping background is actually due to the holmium crystal field level at lower energy.

 

Additional work on multiferroics, and references to the literature, are given in the listed publications below. 

The multiferroic manganite systems we are investigating possess commonalities with the colossal magnetoresistive (CMR) systems, and information about our work on these systems can be found at

Polaron Formation in Colossal Magnetoresistive Oxides 

Reviews

Multiferroics, William Ratcliff and Jeffrey W. Lynn, Chapter 5 in Neutron Scattering - Magnetic and Quantum Phenomena, Felix Fernandez-Alonso and David L. Price, editors (Academic Press, London, 2015).

Magnetic Structures and Dynamics of Multiferroic Systems Obtained with Neutron Scattering, W. D. Ratcliff, II, Jeffrey W. Lynn, Valery Kiryukhin, Prashant Jain, and Michael R. Fitzsimmons, in Nature Partner Journals: Quantum Materials 1, 16003 (2016).

 
 
Selected Publications

Magnetic Order and Spin Dynamics in Ferroelectric HoMnO3, O. P. Vajk, M. Kenzelmann, J. W. Lynn, S. B. Kim and S.-W. Cheong, Phys. Rev. Lett. 94, 087601 (2005).

Magnetic Inversion Symmetry Breaking and Ferroelectricity in TbMnO3, M. Kenzelmann, A.B. Harris, S. Jonas, C. Broholm, J. Schefer, S. B. Kim, C. L. Zhang, S.-W. Cheong, O. P. Vajk and J. W. Lynn, Phys. Rev. Lett. 95, 087206 (2005).

Neutron Scattering Studies of Magnetism in Multiferroic HoMnO3, O. P. Vajk, M. Kenzelmann, J. W. Lynn, S. B. Kim, and S-W. Cheong, J. Appl. Phys. 99, 08R301 (2006).

Evidence for Strong Spin-lattice Coupling in Multiferroic RMn2O5 (R=Tb,Dy,Ho) via thermal expansion anomalies, C. R. dela Cruz, F. Yen, B. Lorenz, S.Park, S.-W. Cheong, M. M. Gospodinov, W. Ratcliff, J. W. Lynn and C. W. Chu, J. Appl. Phys. 99, 08R103 (2006).

Structural Anomalies at the Magnetic and Ferroelectric Transition in RMn2O5, C. R. dela Cruz, F. Yen, B. Lorenz, M. M. Gospodinov, C. W. Chu, W. Ratcliff II, J. W. Lynn, S. Park, and S-W. Cheong, Phys Rev. B 73, 100406 Rapid Communications (2006).

Spontaneous Spin-lattice Coupling in the Geometrically Frustrated Triangular Lattice Antiferromagnet CuFeO2,  F. Ye, Y. Ren, Q. Huang, J. A. Fernandez-Baca, P. Dai, J. W. Lynn, and T. Kimura, Phys. Rev. B Rapid Communications 73, 220404 (2006).

Complex Magnetic Order in the Kagome Staircase Compound Co3V2O8, Y. Chen, J. W. Lynn, Q. Huang, F. M. Woodward, T. Yildirim, G. Lawes, A. P. Ramirez, N. Rogado, R. J. Cava, A. Aharony, O. Entin-Wohlman, and A. B. Harris, Phys. Rev. B 74, 014430 (2006).

Magnetic Instability and Oxygen Deficiency in Na-doped TbMnO3, C. C. Yang, M. K. Chung, W.-H. Li, T. S. Chan, R. S. Liu, Y. H. Lien, C. Y. Huang, Y. Y. Chan, Y. D. Yao, and J. W. Lynn, Phys. Rev. B74, 094409 (2006).

Neutron Diffraction Study of Multiferroic Tb0.85Na0.15MnO3−y, T. S. Chan, R.S. Liu, C.C. Yang, W.-H. Li, Y.H. Lien, C.Y. Huang and J.W. Lynn, J. Mag. Mag. Materials 310, 1151 (2007).

Influence of Oxygen Defects on the Crystal Structure and Magnetic Properties of the (Tb1-xNax)MnO3-y (0≤x≤0.3) System, T. S. Chan,R. S. Liu, C. C. Yang, W.-H. Li, Y. H. Lien, C.Y. Huang, Jeff. W. Lynn, J. M. Chen, and H.-S. Sheu, Inorganic Chemistry 46, 4575 (2007).

The Pressure Effect on the Magnetic Commensurability and Ferroelectricity in Multiferroic HoMn2O5, C. R. dela Cruz, B. Lorenz, W. Ratcliff, J. Lynn, M. M. Gospodinov, and C. W. Chu, Physica B 403, 1359 (2008).

Magnetic Switching and Phase Competition in the Multiferroic Antiferromagnet Mn1-xFexWO4, F. Ye, Y. Ren, J. A. Fernandez-Baca, H. A. Mook, J. W. Lynn, R. P. Chaudhury, Y.-Q. Wang, B. Lorenz, and C. W. Chu, Phys. Rev. B 78, 193101 (2008).

Spin Dynamics in the Magnetoelectric Effect LiCoPO4 Compound, W. Tian, J. Li, J. W. Lynn, J. L. Zarestky, and D. Vaknin, Phys. Rev. B 78, 184409 (2008).

Antiferromagnetism in the Magnetoelectric Effect Single Crystal LiMnPO4, Jiying Li, Wei Tian, Ying Chen, Jerel L. Zarestky, Jeffrey W. Lynn, and David Vaknin,  Phys. Rev. B79, 144410 (2009).

Tweaking the Spin Wave Dispersion and Suppressing the Incommensurate Phase in LiNiPO4 by Iron Substitution, Jiying Li, Thomas B. S. Jensen, Niels. H. Andersen, Jerel L. Zarestky, R. William McCallum, J.-H. Chung, Jeffrey W. Lynn, and David Vaknin, Phys. Rev. B 79, 174435 (2009).

Re-entrant Spiral Magnetic Order and Ferroelectricity in Mn1-xFexWO4 (x=0.035), R. P. Chaudhury, B. Lorenz, Y. Q. Wang, Y. Y. Sun, C. W. Chu, F. Ye, J. Fernandez-Baca, H. Mook, and J. Lynn, J. Appl. Phys. 105, 07D913 (2009).

Coupled Magnetic and Ferroelectric Domains in Multiferroic Ni3V2O8, I. Cabrera, M. Kenzelmann, G. Lawes, Y. Chen, W. C. Chen, R. Erwin, T. R. Gentile, J. B. Leao, J. W. Lynn, N. Rogado, R. J. Cava, and C. Broholm,  Phys. Rev. Lett. 103, 087201 (2009).

Crossover from incommensurate to commensurate magnetic orderings in CoCr2O4, L. J. Chang, D. J. Huang, W-H. Li, S-W. Cheong, W. Ratcliff, and J. W. Lynn, J. Phys.: Condens. Matter 21, 456008 (2009).

Doping Fluctuation-driven Magnetoelectronic Phase Separation in La1-xSrxCoO3 Single Crystals, C. He, S. El-Khatib, J. Wu, J. W. Lynn, H. Zheng, J. F. Mitchell, and C. Leighton, Europhysics Lett. 87, 27006 (2009).

Coupled Structural/Magnetocrystalline Anisotropy Transitions in the Doped Perovskite Cobaltite Pr1-xSrxCoO3, C. Leighton, D.D. Stauffer, Q. Huang, Y. Ren, B. Toby, S. El-Khatib, M.A. Torija, J. Wu, J. W. Lynn, L. Wang, N.A. Frey, H. Srikanth, J.E. Davies, K. Liu and J.F. Mitchell, Phys. Rev. B 79, 214420 (2009).

Transport Signatures of Percolation and Electronic Phase Homogeneity in La1-xSrxCoO3 Single Crystals, C. He, S. El-Khatib, S. Eisenberg, M. Manno, J. W. Lynn, H. Zheng, J. F. Mitchell, and C. Leighton, Appl. Phys. Lett. 95, 222511 (2009).

Neutron Scattering Studies of LiCoPO4 and LiMnPO4, Wei Tian, Jiying Li, Haifeng Li, Jeffrey W. Lynn, Jerel L. Zarestky, and David Vaknin, J. Physics: Conf. Series 150, (2009).

Origin of Electric Field Induced Magnetization in Multiferroic HoMnO3, B. G. Ueland, J. W. Lynn, M. Laver, Y. J. Choi, and S.-W. Cheong, Phys. Rev. Lett. 104, 147204 (2010).

Short range magnetic correlations induced by La-substitution in Ho1-xLaxMn2O5, Chin-Wei Wang, Chun-Ming Wu, Chi-Yen Li, Sunil K. Karna, Chien-Kang Hsu, Carissa H. C. Li, Wen-Hsien Li, Chun-Chen Yu, Chun-Pin Wu, Hsiung Chou, and Jeffrey W. Lynn, J. Phys: Cond. Mat. 22, 246002 (2010).

Neutron Scattering Studies of LiCoPO4 and LiMnPO4, Wei Tian, Jiying Li, Haifeng Li, Jeffrey W. Lynn, Jerel L. Zarestky, and David Vaknin, J. Physics: Conference Series, 251, 012005 (2010).

Evolution of the Commensurate and Incommensurate Magnetic Phases of S=3/2 Kagome Staircase Co3V2O8 in an Applied Field, Joel S. Helton, Ying Chen, Sergei N. Barilo, Nyrissa Rogado, Robert J. Cava, and Jeffrey W. Lynn, J. Phys. Cond. Matr. 24, 016003 (2012).

Interplay between the magnetic and electric degree-of-freedoms in multiferroics Co3TeO6, Wen-Hsien Li, Chin-Wei Wang, Daniel Hsu, Chi-Hung Lee, Chun-Ming Wu, Chih-Chieh Chou, Hung-Duen Yang, Yang Zhao, Sung Chang, Jeffrey W. Lynn, and Helmuth Berger,  Phys. Rev. B 85, 094431 (2012).

Magnetic Phase Diagram of Magnetoelectric LiMnPO4, Rasmus Toft-Petersen, Niels H. Andersen, Haifeng Li, Jiying Li, Wei Tian, Sergey L. Bud'ko, Thomas B. S. Jensen, Christof Niedermayer, Mark Laver, Oksana Zaharko, Jeffrey W. Lynn, and David Vaknin, Phys. Rev. B 85, 224415 (2012).

Giant Magnetic Fluctuations at the Critical Endpoint in Insulating HoMnO3, Y. J. Choi, N. Lee, P. A. Sharma, S. B. Kim, O.P. Vajk, J. W. Lynn, Y.S. Oh, and S-W. Cheong, Phys. Rev. Lett. 110, 157202 (2013).

Complex Magnetic Couplings in Co3TeO6, Chin-Wei Wang, Chi-Hung Lee, Chi-Yen Li, Chun-Ming Wu, Wen-Hsien Li, Chih-Chieh Chou, Hung-Duen Yang, Jeffrey W. Lynn, Qingzhen Huang, A. Brooks Harris, and Helmuth Berger, Phys. Rev. B 88, 184427 (2013).

Phonon Localization Drives Polar Nanoregions in a Relaxor Ferroelectric, M. E. Manley, J. W. Lynn, E. D. Specht, O. Delaire, A. R. Bishop, R. Sahul, J. D. Budai, Nature Communications 5, 3863 (2014).

Neutron Scattering Studies of Spin Dynamics in the Type-I Multiferroic Perovskite Sr0.56Ba0.44MnO3, D. K. Pratt, J. W. Lynn, J. Mais, O. Chmaissem, Dennis E. Brown, Stanislaw Kolesnik, and B. Dabrowski, Phys Rev B 90, 140401(R) (2014).

Multiferroicity in Doped Hexagonal LuFeO3, Steven M. Disseler, Xuan Luo, Bin Gao, Yoon Seok Oh, Rongwei Hu, Yazhong Wang, Dylan Quintana, Alexander Zhang, Qingzhen Huang, Jeffrey W. Lynn, Sang-Wook Cheong, William Ratcliff II, Phys Rev B 92, 054435 (2015).

Multiferroics, William Ratcliff and Jeffrey W. Lynn, Chapter 5 in Neutron Scattering - Magnetic and Quantum Phenomena, Felix Fernandez-Alonso and David L. Price, editors (Academic Press, London, 2015).

Magnetic Structures and Dynamics of Multiferroic Systems Obtained with Neutron Scattering, W. D. Ratcliff, II, Jeffrey W. Lynn, Valery Kiryukhin, Prashant Jain, and Michael R. Fitzsimmons, in Nature Partner Journals: Quantum Materials 1, 16003 (2016).

Magnetic Structures and Dynamics of Multiferroic Systems Obtained with Neutron Scattering, W. D. Ratcliff, II, Jeffrey W. Lynn, Valery Kiryukhin, Prashant Jain, and Michael R. Fitzsimmons, Nature Partner Journals: Quantum Materials 1, 16003 (2016).

Complex magnetic incommensurability and electronic charge transfer through the ferroelectric transition in multiferroic Co3TeO6, Chi-Hung Lee, Chin-Wei Wang, Yang Zhao, Wen-Hsien Li, Jeffrey W. Lynn, A. Brooks Harris, Kirrily Rule, Hung-Duen Yang, and Helmuth Berger, Scientific Reports 7, 6437 (2017).

Multiferroic Order Parameters in Sr1-xBaxMn1-yTiyO3, Kamal Chapagain, Dennis E. Brown, Stanislaw Kolesnik, Saul Lapidus, Bianca Haberl, Jamie Molaison, Chuanlong Lin, Curtis Kenney-Benson, Changyong Park, Ewa Markiewicz, Bartlomiej Andrzejewski, Jeffrey W. Lynn, Stephan Rosenkranz,Bogdan Dabrowski, and Omar Chmaissem, Phys. Rev. Mater. 3, 084401 (2019).

Three-dimensional Magnetism and the Dzyaloshinskii-Moriya interaction in S = 3/2 Kagome Staircase Co3V2O8, Joel S. Helton, Nicholas P. Butch, Daniel M. Pajerowski, Sergei N. Barilo, and Jeffrey W. Lynn, Science Advances 6, aay9709 (5/1/2020).

Magnetic Phase Transitions and Spin Density Distribution in the Molecular Multiferroic System GaV4S8, Rebecca L. Dally, William D. Ratcliff II, Lunyong Zhang, Heung-Sik Kim, Markus Bleuel, J. W. Kim, Kristjan Haule, David Vanderbilt, Sang-Wook Cheong, and Jeffrey W. Lynn, Phys. Rev. B102, 014410 (2020).

Charge Transfer enhanced Magnetic Correlations in Type-II Multiferroic Co3TeO6, Chi-Hung Lee,  Erdembayalag Batsaikhan, Ma-Hsuan Ma,  Wen-Hsien Li,  Chin-Wei Wang,  Chun-Min Wu, Hung-Duen Yang, Jeffrey W. Lynn, Helmuth Berger,  J. Chinese Chemical Society  00472 (2020).

Post deposition interfacial Néel temperature tuning in magnetoelectric B:Cr2O3, Ather Mahmood, Jamie Weaver, Will Echtenkamp, Syed Qamar Abbas Shah, Jeffrey W. Lynn, and Christian Binek, Advanced Physics Research 3, 2300061 (2023).[online];  Advanced Physics Research 3, 202470001 (2024) [print/journal cover].

Entropy Driven Incommensurate Structures in the Frustrated Kagome Staircase Co3V2O8, Joel S. Helton, Robert J. Cava, Nyrissa Rogado, Jeffrey W. Lynn, J. Phys.: Condens. Matter 36, 205801 (2024).

Multiferroic Quantum Material Ba2Cu1-xMnxGe2O7 (0 ≤ x ≤ 1) as a potential candidate for frustrated Heisenberg antiferromagnet, Henrik Thoma, Rajesh Dutta, Vladimir Hutanu, Veronica Granata, Rosalba Fittipaldi, Qiang Zhang, Jeffrey W. Lynn, Petr Čermák, Nazir Khan, Shibabrata Nandi, and Manuel Angst, Nature Partner Journals: Quantum Materials 9:58 (2024)

Hybrid magnon-phonon localization enhances function near ferroic glassy states,  Michael E. Manley, Paul J. Stonaha, Nickolaus M. Bruno, Ibrahim Karaman, Raymundo Arroyave, Songxue Chi, Douglas L. Abernathy, Matthew B. Stone, Yuri I. Chumlyakov, and Jeffrey W. Lynn, Science Advances 10, eadn2840 (2024).

Recent Publications                     Return to Home page

 

Created January 22, 2020, Updated June 27, 2025
Was this page helpful?