Skip to main content
U.S. flag

An official website of the United States government

Official websites use .gov
A .gov website belongs to an official government organization in the United States.

Secure .gov websites use HTTPS
A lock ( ) or https:// means you’ve safely connected to the .gov website. Share sensitive information only on official, secure websites.

Wildland Urban Interface Fire Smoke Characterization

Research Overview

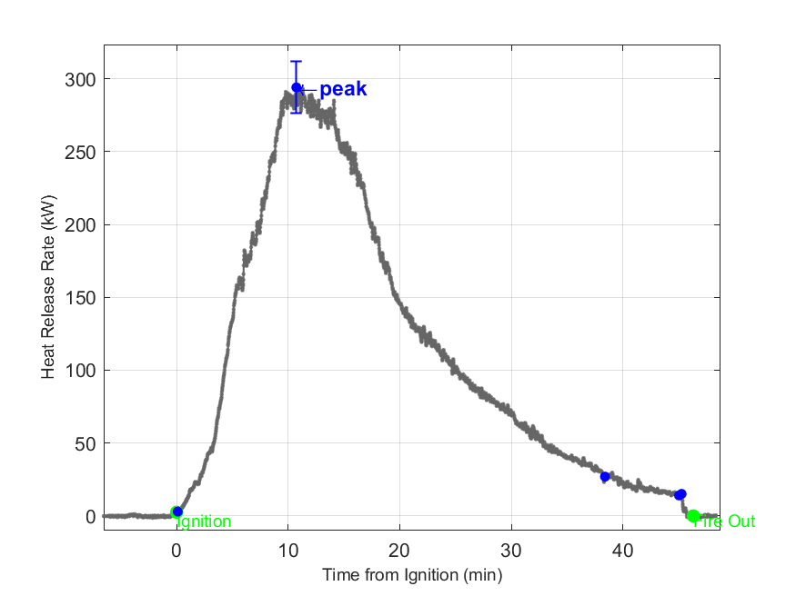
With millions houses in the US located at the wildland urban interface (WUI) and wildfire activity on the rise, there is a concern that structure fires might be a key source of air pollutants in WUI regions. Experiments were conducted to study the burning characteristics and smoke emission from mixed fuel crib assemblies designed to represent the main components in structures. Cribs consisting of wood, drywall, and plastics were assembled into cubic structures, all with the same mass fraction for each material. Three packing densities and two crib sizes were studied. While a crib burned to completion, the smoke was collected in a fire calorimetry system for the heat release rate (HRR), combustion gases, and smoke measurements. The scale of cribs affected the burn duration and the total heat release, but the packing density had a greater effect on modified combustion efficiency, peak HRR, and the emission factors of CO2, CO, formaldehyde, acrolein, SO2, and total hydrocarbons. This work contributes to the understanding of emissions and environmental impacts from WUI fires.

Experiment Name Plot of Heat Release Rate Ignition Photo Date/Time Sort descending Specimen Fuel Type Test Duration (min) Total Heat Released (MJ) Peak HRR (kW)
FEWC109
Plot of Fire Heat Release Rate with event markers. Uncertainty bar shown at peak value.
Ignition
Wood Crib Cellulose
31.40
313
343
FEWC110
Plot of Fire Heat Release Rate with event markers. Uncertainty bar shown at peak value.
Ignition
Wood Crib Generic
31.07
67.4
116.1
FEWC211
Plot of Fire Heat Release Rate with event markers. Uncertainty bar shown at peak value.
Ignition
Wood Crib Generic
47.12
87.5
63.9
FEWC212
Plot of Fire Heat Release Rate with event markers. Uncertainty bar shown at peak value.
Ignition
Wood Crib Generic
136.03
118.7
22.7
FEWC213
Plot of Fire Heat Release Rate with event markers. Uncertainty bar shown at peak value.
Ignition
Wood Crib Generic
11.58
4.07
28.9
FEWC314
Plot of Fire Heat Release Rate with event markers. Uncertainty bar shown at peak value.
Ignition
Wood Crib Generic
30.95
68.9
115.6
FEWC315
Plot of Fire Heat Release Rate with event markers. Uncertainty bar shown at peak value.
Ignition
Wood Crib Generic
46.32
314
294
FEWC316
Plot of Fire Heat Release Rate with event markers. Uncertainty bar shown at peak value.
Ignition
Wood Crib Generic
132.33
109.5
23.0
FEWC418
Plot of Fire Heat Release Rate with event markers. Uncertainty bar shown at peak value.
Ignition
Wood Crib Generic
53.82
92.2
102.7
FEWC419
Plot of Fire Heat Release Rate with event markers. Uncertainty bar shown at peak value.
Ignition
Wood Crib Generic
30.87
66.3
153.2
FEWC520
Plot of Fire Heat Release Rate with event markers. Uncertainty bar shown at peak value.
Ignition
Wood Crib Generic
91.02
440
212
FEWC521
Plot of Fire Heat Release Rate with event markers. Uncertainty bar shown at peak value.
Ignition
Wood Crib Generic
91.87
447
209
FEWC522
Plot of Fire Heat Release Rate with event markers. Uncertainty bar shown at peak value.
Ignition
Wood Crib Generic
31.08
66.1
128.4
FEWC623
Plot of Fire Heat Release Rate with event markers. Uncertainty bar shown at peak value.
Ignition
Wood Crib Generic
183.37
513
112.1
FEWC624
Plot of Fire Heat Release Rate with event markers. Uncertainty bar shown at peak value.
Ignition
Wood Crib Generic
109.77
437
236
FEWC725
Plot of Fire Heat Release Rate with event markers. Uncertainty bar shown at peak value.
Ignition
Wood Crib Generic
198.53
498
66.0
FEWC726
Plot of Fire Heat Release Rate with event markers. Uncertainty bar shown at peak value.
Sample
Wood Crib Generic
9.82
8.42
67.4
FEWC827
Plot of Fire Heat Release Rate with event markers. Uncertainty bar shown at peak value.
Sample
Wood Crib Generic
121.27
103.5
24.0
FEWC828b
Plot of Fire Heat Release Rate with event markers. Uncertainty bar shown at peak value.
Sample
Wood Crib Generic
45.95
88.0
81.1
FEWC829
Plot of Fire Heat Release Rate with event markers. Uncertainty bar shown at peak value.
Sample
Wood Crib Generic
46.07
88.8
69.0
FEWC930
Plot of Fire Heat Release Rate with event markers. Uncertainty bar shown at peak value.
Sample
Wood Crib Generic
47.73
307
267
FEWC931
Plot of Fire Heat Release Rate with event markers. Uncertainty bar shown at peak value.
Sample
Wood Crib Generic
55.62
313
269
FEWC932
Plot of Fire Heat Release Rate with event markers. Uncertainty bar shown at peak value.
Sample
Wood Crib Generic
27.03
58.4
82.2

Bryant, R. and Bundy, M. The NIST 20 MW Calorimetry Measurement System for Large-Fire Research, Technical Note (NIST TN) 2077, 2019
https://doi.org/10.6028/NIST.TN.2077

NIST Fire Calorimetry Database (FCD)
https://doi.org/10.18434/mds2-2314

Last Updated November 14, 2025
Was this page helpful?