Skip to main content

NOTICE: Due to a lapse in annual appropriations, most of this website is not being updated. Learn more.

Form submissions will still be accepted but will not receive responses at this time. Sections of this site for programs using non-appropriated funds (such as NVLAP) or those that are excepted from the shutdown (such as CHIPS and NVD) will continue to be updated.

U.S. flag

An official website of the United States government

Official websites use .gov
A .gov website belongs to an official government organization in the United States.

Secure .gov websites use HTTPS
A lock ( ) or https:// means you’ve safely connected to the .gov website. Share sensitive information only on official, secure websites.

Vehicle3

Table 1. Test Information
Name
Vehicle3
Date
Description

2010 blue hybrid sedan mass = 1274 kg. Li-Ion Battery removed. 6 gallons of gasoline in fuel tank. Primary ignition with 1 liter kerosene soaked rags to ignite the 6 cm bed of pine straw mulch (21.0 kg) under car.

Specimen
Compact Hybrid Vehicle
Ignition
kerosene soaked rags
Project ID (s)
Test Director
Hamins

Timelapse Video with Heat Release Rate Plot

Table 2. Summary of Test Results
Measurement Value Uc Unit
Peak Heat Release Rate, PHRR
8,527
507
kW
Time to Peak Heat Release Rate
11.95
0.07
min
Total Heat Released, THR
7,817
489
MJ
Gas Burner Total Heat Released, NGTHR
1
-
MJ
Heat Release Quality Confirmation, HRQC
Not measured -
MJ/MJ
Net Specimen Mass (gravimetric), NM = Mi-Mf
241.2
5.7
kg
Net Effective Heat of Combustion = THR / NM
32.4
2.2
MJ/kg
O2 Yield = O2 Consumed / NM
2.388
0.095
kg/kg
CO2 Yield = CO2 Generated / NM
2.38
0.10
kg/kg
CO Yield = CO Generated / NM
0.0436
0.0019
kg/kg
Soot Yield = Soot Generated / NM
0.0417
0.0054
kg/kg
Baseline Hood Exhaust Flow
73.4
2.2
kg/s
Test Duration = Time(Fire Out) - Time(Ignition)
94.42
0.03
min

Uc = Combined Expanded Uncertainty with 95% confidence level

Table 3. Summary of Test Input Parameters
Parameter Value Uc Unit
Fuel Type
Generic
- -
Hood Size
15
-
m
Effective Duct Diameter
2.424
0.009
m
Exhaust Flow Correction Factor
1.042
0.032
-
Net Heat of Combustion (per unit mass O2), Ef
13.10
0.66
MJ/kg
Net Heat of Combustion(per unit mass fuel), HOCf
25.00
7.50
MJ/kg
Initial Specimen Mass, Mi (gravimetric)
1,295.00
4.00
kg
Final Specimen Mass, Mf (gravimetric)
1,053.78
4.00
kg
Plot of Fire Heat Release Rate with event markers. Uncertainty bar shown at peak value.
Figure 1. Plot of Heat Release Rate data with event markers and error bars shown at peak.
Table 4. Summary of Observed Test Events
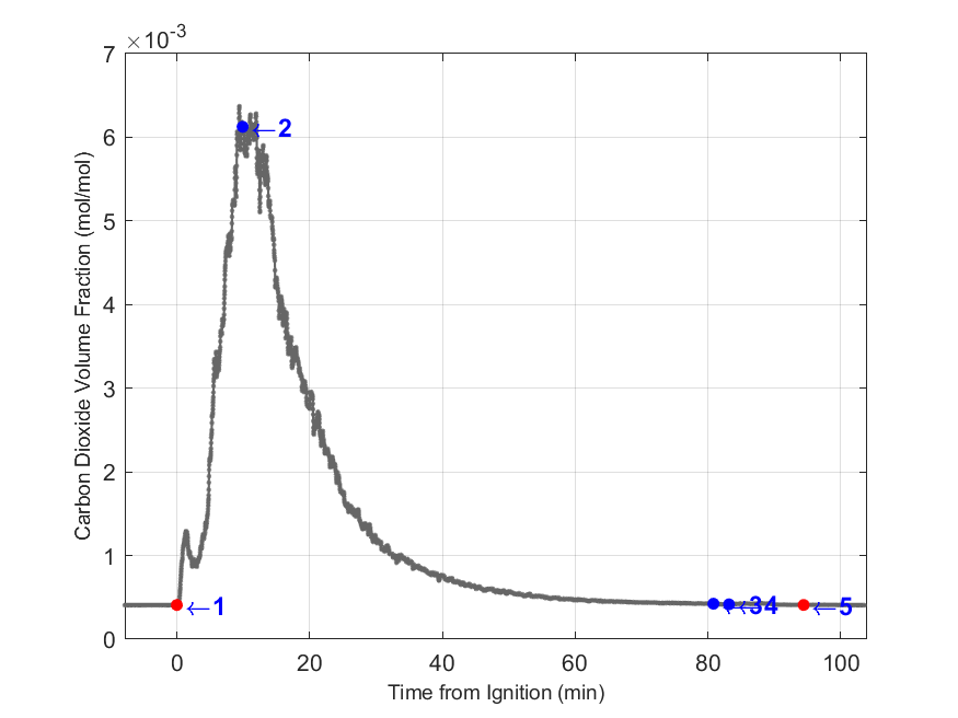
Event Time (min) Description Video Snapshot Image
1
0.00
Ignition
Ignition
2
9.92
loud bangs from air bag
loud bangs from air bag
peak
11.95
Peak HRR
Peak HRR
3
80.82
start water suppression of hot spots
start water suppression of hot spots
4
83.17
remove magnesium hunk
remove magnesium hunk
5
94.42
Fire Out
Fire Out

Table 5. Supplemental Data Plots

Plot of Oxygen Dry Volume Fraction in hood exhaust stream.
Plot of Oxygen Dry Volume Fraction in hood exhaust stream.
Plot of Carbon Dioxide Dry Volume Fraction in hood exhaust stream.
Plot of Carbon Dioxide Dry Volume Fraction in hood exhaust stream.
Plot of Carbon Monoxide Dry Volume Fraction in hood exhaust stream.
Plot of Carbon Monoxide Dry Volume Fraction in hood exhaust stream.
Plot of Radiant Heat Flux data with event markers. r= radial distance from center of hood, h=height above floor.
Plot of Radiant Heat Flux data with event markers. r= radial distance from center of hood, h=height above floor.
Plot of Smoke Laser Extinction Coefficient in hood exhaust stream.
Plot of Smoke Laser Extinction Coefficient in hood exhaust stream.
Plot of Exhaust Duct Mass Flow Rate.
Plot of Exhaust Duct Mass Flow Rate.

Bryant, R. and Bundy, M. The NIST 20 MW Calorimetry Measurement System for Large-Fire Research, Technical Note (NIST TN) 2077, 2019
https://doi.org/10.6028/NIST.TN.2077

NIST Fire Calorimetry Database (FCD)
https://doi.org/10.18434/mds2-2314

Report Process Script Version
NFRL_Report_8.6.0
Last Updated April 3, 2025
Was this page helpful?